News Flash Home
The original item was published from 6/24/2020 5:18:08 PM to 1/1/2021 12:00:01 AM.

News Flash

Home - News Flash

Posted on: June 24, 2020

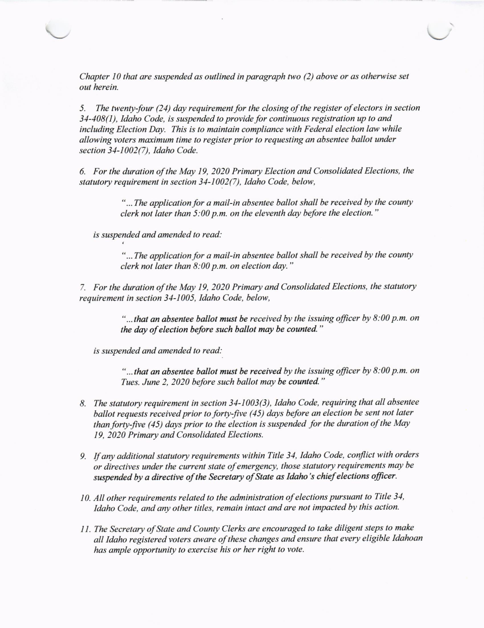
[ARCHIVED] Governor's Proclamation April 1, 2020

Governors Proclamation April 1 2020Governors Proclamation April 1 2020 (2)Governors Proclamation April 1 2020 (3)Governors Proclamation April 1 2020 (4)Governors Proclamation April 1 2020 (5)

Facebook Twitter Email

Other News in Home - News Flash

Taurus Wind

Posted on: November 18, 2024

ESPA Water Opinion Letter

Posted on: October 22, 2024